Leetcode 19.删除链表的倒数第N个结点
题目要求
- 给你一个链表,删除链表的倒数第 n 个结点,并且返回链表的头结点。
示例 1:

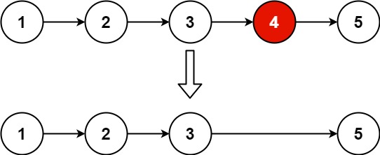
输入:head = [1,2,3,4,5], n = 2
输出:[1,2,3,5]
示例2:
输入:head = [1], n = 1
输出:[]
示例3:
输入:head = [1,2], n = 1
输出:[1]
提交
双temp实现交换
设置快慢两个指针fast和slow,先让fast走n步,使得fast和slow相差n个结点,当fast走到最后一个结点时,slow指向的即是倒数第n个结点的前一个节点
如下图所示:

1 2 3 4 5 6 7 8 9 10 11 12 13 14 15 16 17 18 19 20 21 22 23 24 25 26 27 28 29 30 31 32 33 34 35
|
class Solution { public ListNode removeNthFromEnd(ListNode head, int n) { ListNode dumyhead = new ListNode(0); dumyhead.next = head;
ListNode fast = dumyhead; ListNode slow = dumyhead;
for(int i = 0; i < n; i++){ fast = fast.next; }
while(fast.next != null){ fast = fast.next; slow = slow.next; }
slow.next = slow.next.next;
return dumyhead.next; } }
|