Leetcode 617.合并二叉树
Leetcode 617.合并二叉树
题目要求
-
给你两棵二叉树: root1 和 root2 。
-
想象一下,当你将其中一棵覆盖到另一棵之上时,两棵树上的一些节点将会重叠(而另一些不会)。你需要将这两棵树合并成一棵新二叉树。合并的规则是:如果两个节点重叠,那么将这两个节点的值相加作为合并后节点的新值;否则,不为 null 的节点将直接作为新二叉树的节点。
-
返回合并后的二叉树。
-
注意: 合并过程必须从两个树的根节点开始。
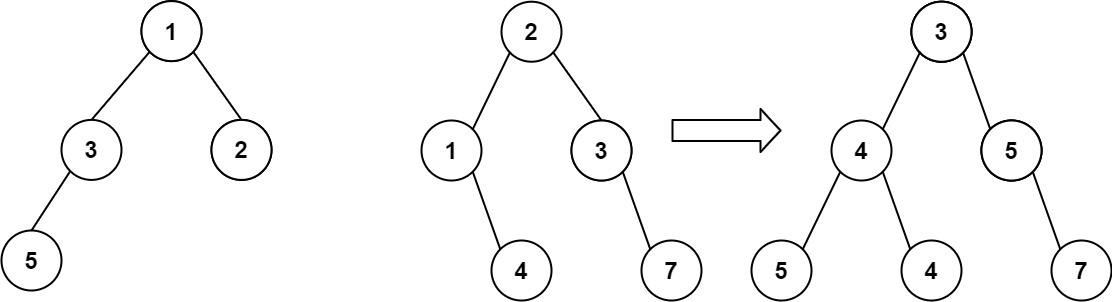
示例 1:

输入:root1 = [1,3,2,5], root2 = [2,1,3,null,4,null,7]
输出:[3,4,5,5,4,null,7]
示例 2:
输入:root1 = [1], root2 = [1,2]
输出:[2,2]
递归,前序遍历合并二叉树
两个二叉树一起遍历,构造新节点
1 | /** |
